About MyLevel™ Precision Dosing
One-Size-Fits-All Weight Loss Treatment Doesn’t Work.
Most medical weight loss programs use fixed, once-weekly doses of GLP-1 medication. It’s simple, but it assumes everyone’s body responds the same way.
In practice, the same dose can affect people very differently, causing significant side effects in some while failing to adequately control appetite in others.
Until now, there has been no reliable way to identify the precise amount of GLP-1 medication an individual needs or to adjust dosing precisely enough to stay there.
What Is MyLevel?
MyLevel™
[maiˈlev.əl] : noun
1: A patent-pending precision dosing engine that calculates your personal medication levels and adjusts your dose to keep you in your optimal target range.
2: The “sweet spot” medication level where you get the best results and experience the fewest side effects.
The MyLevel Solution
Every patient has a personal medication level where they feel their best and achieve optimal results. We call this your MyLevel.
Our patent-pending MyLevel app helps identify your ideal MyLevel on a simple 0 to 50 scale, then determines the precise dose and dosing interval needed to reach and maintain it.
As your body changes over time, your MyLevel can be adjusted up or down to improve appetite control, reduce side effects, or allow greater dietary flexibility.
Standard Dosing
✗ Unnecessary side effects
✗ Inconsistent appetite control
✗ Weight loss plateaus
✗ Reduced long-term success
Personalized Dosing
✓ Fewer side effects
✓ Steady, predictable appetite control
✓ Less medication needed
✓ Lose weight at a pace you choose
Curious what your MyLevel is?
Book a ConsultationOutcomes
More Weight Lost.
Half the Drug.
We collected and evaluated internal clinic data on 112 patients treated with MyLevel dosing adjustments. We compared each patient’s actual weight loss to what the Phase III trials predict at their exact point in treatment, and their average weekly dose to what the standard protocol would have averaged over that same period.
The trials predicted 10.5% body weight loss. Our patients had lost 13.8% on roughly half the time-matched standard dose.
Semaglutide patients lost an average of 34.7 lbs (16.3%) over 30.8 weeks, about 1.18 lbs/week vs the STEP 1 prediction of 0.74 lbs/week (1.3x the trial rate). Average dose: 0.71 mg/week vs the time-matched standard of 1.40 mg/week.
Tirzepatide patients lost an average of 25.6 lbs (12.9%) over 22.7 weeks, about 1.21 lbs/week vs the SURMOUNT-1 prediction of 0.96 lbs/week (1.1x the trial rate). Average dose: 4.05 mg/week vs the time-matched standard of 7.70 mg/week.
We were not able to identify a single patient that stopped the medication due to side effects.
Patients on MyLevel precision dosing lost weight FASTER than the trials would predict and took HALF the medication.

When Precision Changes Everything
Three Patients. Three Stories.

Dr. Ellis
Founder of Voafit. 60 lbs overweight after residency.
His first round on standard-dose semaglutide: 25 pounds lost in three months. Then a body composition scan revealed 16 pounds of lean mass lost, only 9 of fat. Defeat from the jaws of victory. He regained the muscle, started over with precision dosing, and tracked his levels from day one.
This time, it was different. Almost 2 lbs of fat lost for every pound of lean mass. Goal weight reached without significant side effects. Strongest and leanest he has ever been.
Same medication. Smarter approach. Radically different outcome.

MaryAlice
Young, healthy. Goal: lose 25 lbs. Extremely medication-sensitive.
She told us she was sensitive to medications. She wasn’t lying. We started her at 1/3 of the standard tirzepatide dose. She still became violently ill and lost five pounds in three days. Under standard care, she would have been labeled intolerant. Instead, we calculated her level and cut her next dose to 1/10th of standard.
Side effects never returned. Appetite became level and controlled. She lost those 25 pounds, reached her goal weight, and never exceeded the standard starting dose.
Her ideal level sat far below average. But we could see it.

Pat
Mid-60s, 309 lbs. Recent ICU discharge. Heart disease, kidney injury.
Most physicians wouldn’t prescribe a GLP-1 to Pat. She would have been excluded from the trials entirely. We started her below 1/3 of standard and calculated her level before every dose. It took months to find her range. Then the numbers started to change.
92 pounds down. The knee replacement she’d been disqualified for. Back singing in the choir. No longer needing a scooter. Her goal of 160 pounds is within reach.
Precision dosing gave her back her mobility, her independence, and her joy.
It’s not the dose. It’s the level.
Science nerd... or just curious?
Keep reading for a deeper dive into the hows and whys of MyLevel precision dosing.
Going Deep
First Principle.
Doses Create Medication Levels. Levels Are What Matters.
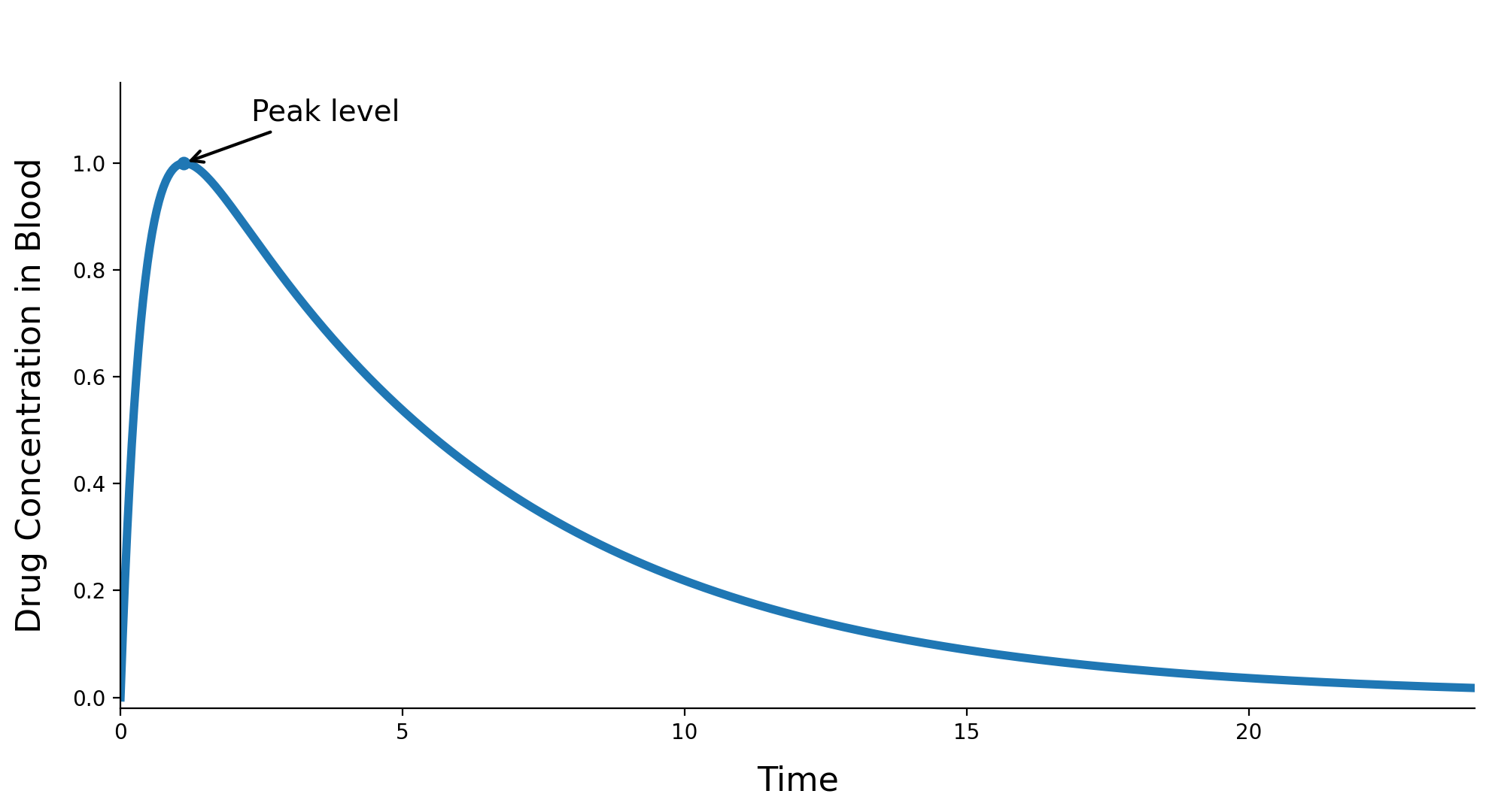
After a medication dose is taken, it does not act immediately. It must first enter the bloodstream, a process known as absorption. As absorption occurs, the amount of medication active in the body increases. This amount is referred to as your medication level.
Medication levels rise during absorption, reach a peak, then gradually fall as the drug is metabolized and eliminated. If no additional doses are taken, the level eventually returns to zero.
The intensity of both desired effects and side effects is determined by this medication level, not simply by the dose itself.
Why Standard GLP-1 Dosing Often Falls Short
Key concept: Half-life
GLP-1 medications take roughly one week to eliminate just half of a single dose. This slow clearance is the root cause of unpredictable accumulation.
Traditional GLP-1 therapy typically follows a fixed weekly dosing schedule with predefined dose escalations. This approach was designed for population-level simplicity, not individual response.
At first glance, it seems reasonable to assume that taking the same dose on the same day each week should result in a consistent experience. In practice, this assumption breaks down because GLP-1 medications are metabolized very slowly.
It takes roughly one week for the body to eliminate only half of a single GLP-1 dose. Using simple numbers, this means that one week after taking 1 mg of medication, approximately 0.5 mg may still remain in the body. Another week later, half of that remaining amount is eliminated, and the process continues gradually over several weeks.
The Compounding Effect of Fixed Weekly Dosing
Here is the key insight behind MyLevel.
If you start from zero and take a dose that produces a peak medication level of 1.0, and one week later there is still 0.5 remaining in your system, the next identical dose does not bring you back to 1.0. It brings you to 1.5. That is a 50 percent increase in medication level, even though the dose itself did not change.
With each additional identical weekly dose, medication levels continue to rise until equilibrium (also known as “steady state”) is reached, typically after four to five doses.
identical doses.
different medication levels.
different treatment experiences.
Just as equilibrium is reached, standard protocols often instruct patients to increase the dose again, restarting the same cycle of rising levels and unpredictable responses.
Twenty weeks of treatment. Twenty different medication levels.
It is not surprising that many patients feel uncertain about what to expect from week to week.
Your MyLevel
We believe that every patient has a personal medication level range where GLP-1 therapy works best. Within this range, appetite control feels consistent, side effects are manageable, and progress feels sustainable. Outside this range, results often suffer.
MyLevel is designed to identify that range and guide dosing decisions that help patients stay within it. The goal is not continuously higher dosing. The goal is the right level for you.
Standard Dosing vs. MyLevel Dosing
After the first few doses, MyLevel identifies the point at which appetite suppression feels ideal and the point at which hunger begins to return. These define the patient’s personal MyLevel range. Levels above this range increase the risk of side effects. Levels below it reduce appetite control. The goal is to remain within this range.
Once the range is identified, the MyLevel app suggests the exact dose and dosing interval needed to stay there.
How MyLevel Guides Dosing Decisions
The MyLevel patient-facing app estimates medication levels based on dose history and accumulation, accounts for early, late, or missed doses, and identifies dosing adjustments needed to reach and maintain a target range.
Adjustments occur within physician-defined safety boundaries, allowing treatment to adapt to real life rather than forcing patients into rigid schedules. If side effects increase or flexibility is needed, the target level can be adjusted downward. If appetite control becomes insufficient, adjustments can be made upward in a controlled and thoughtful manner.
Adaptable. Flexible. MyLevel.
When adaptation occurs, increases are made in small, precise steps. In many cases, raising the target level by a single MyLevel unit, one-fiftieth of the full range, is sufficient to overcome plateaus without excessive escalation.
Better Results With Less Medication
By avoiding unnecessary escalation and excessive peaks, many patients using MyLevel achieve comparable or improved weight loss while using less total medication. This approach often results in fewer side effects, greater consistency, and improved long-term adherence.
When treatment feels predictable and tolerable, patients are more likely to stay engaged and see lasting results.
The MyLevel App
The screenshots below show examples from the MyLevel application, including a patient’s selected MyLevel, their current estimated medication level, and the calculated dose needed at that moment to reach the target range. Patients can adjust their MyLevel within physician-defined safety limits as needed, while all dosing remains overseen by a licensed physician.
Why MyLevel Exists
MyLevel was created after observing the same patterns repeatedly, both personally and in patients. GLP-1 medications are powerful tools, but standard dosing often led to unnecessary side effects, frustration, and early discontinuation. The medication worked, but the dosing strategy was incomplete.
MyLevel was built to bring precision, flexibility, and sustainability to GLP-1 therapy.
Frequently Asked Questions
Is MyLevel only used for GLP-1 medications?+
Currently, yes. The framework is built for GLP-1 receptor agonists like semaglutide and tirzepatide. The underlying principles apply to any medication involving accumulation and tolerance, so future applications are possible.
Does MyLevel mean lower doses for everyone?+
Not necessarily. The goal is the right level, not the lowest dose. Some patients need more medication to reach their target range. Others need far less than standard protocols prescribe. MyLevel finds what works for you specifically.
How often does my dosing change?+
It depends on your response. During the first few weeks, adjustments happen frequently as we identify your target range. Once your level stabilizes, many patients go weeks or months without changes.
Is MyLevel automated?+
No. MyLevel supports clinical decision-making, but every adjustment is physician-supervised. The system calculates recommended doses and flags concerns. Your provider makes the final call.
Ready to Find Your MyLevel?
GLP-1 medications are powerful. How they are dosed makes all the difference.
If your current treatment feels inconsistent or difficult to tolerate, or if you are just now considering starting GLP-1 therapy, MyLevel offers a more thoughtful approach.
MyLevel precision dosing is only available at Voafit.
Memberships from $129/mo • View plans





